Представители Специальной мониторинговой миссии ОБСЕ в Украине сообщили об относительном улучшении обстановки в Донецкой области. Речь идет об уменьшении количества нарушений режима прекращения огня (НРПО).
Так, в период с вечера 20 декабря по вечер 21 декабря СММ констатировала уменьшение количества НРПО, зафиксировав, среди прочего, около 150 взрывов (по сравнению с предыдущим отчетным периодом, когда было отмечено примерно 200 взрывов), сообщает avdeevka.city со ссылкой на последний отчет СММ ОБСЕ (опубликован вечером 22 декабря). Большинство нарушений режима прекращения огня, в частности около 75 взрывов, были зафиксированы в районах к юго-востоку от н. п. Светлодарск (подконтрольный правительству,
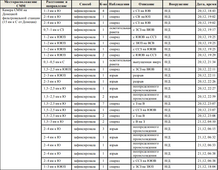
Кроме того, с вечера 20 декабря по вечер 21 декабря камера СММ фиксировала пролеты снарядов и взрывы в районе Донецкой фильтровальной станции.




