В своем новом отчете представители Специальной мониторинговой миссии ОБСЕ в Украине сообщили об увеличение количества нарушений режима прекращения огня (НРПО) в Донецкой области.
Согласно отчету, в течение суток (с вечера 27 декабря по вечер 28 декабря), несмотря на рост НРПО, на Донетчине было меньше взрывов (около 100), по сравнению с предыдущим отчетным периодом (приблизительно 130 взрывов).
Большинство НРПО зафиксировано в районе треугольника Авдеевка–Ясиноватая–Донецкий аэропорт, в районах к югу от н. п. Светлодарск (подконтрольный правительству,
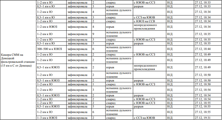
27 и 28 декабря камера СММ фиксировала многочисленны НРПО в районе Донецкой фильтровальной станции.


А наблюдатели СММ слышали 28 декабря в период с 10:55 по 12:35 7 взрывов, а также выстрелы и очереди из стрелкового оружия в районе Авдеевки.




