По данным Специальной мониторинговой миссии ОБСЕ в Украине, в минувшие выходные в Донецкой области зафиксировано около 300 взрывов.
За период с вечера 7 по вечер 8 декабря в Донецкой области СММ констатировала увеличение количества нарушений режима прекращения огня, зафиксировав, среди прочего, примерно 50 взрывов, по сравнению с предыдущим отчетным периодом (около 30 взрывов). Большинство нарушений режима прекращения огня зарегистрировано в районах к северо-востоку, востоку и юго-востоку от н. п. Гнутово (подконтрольный правительству,
С вечера 8 до вечера 9 декабря Миссия констатировала дальнейшее увеличение количества нарушений режима прекращения огня, зафиксировав, среди прочего, около 250 взрывов, по сравнению с предыдущими сутками. Большинство нарушений режима прекращения огня зафиксировано в районах к югу и юго-западу от н. п. Светлодарск (подконтрольный правительству,
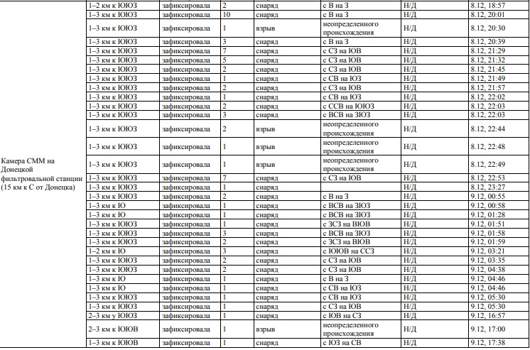
Под ударом в очередной раз оказалась Донецкая фильтровальная станция, где трое суток подряд фиксировались взрывы, а также полеты снарядов и ракет (см таблицу). Напомним, что ДФС вчера была остановлена на ремонт.


Неспокойно было и в районе Авдеевки. Камера СММ зафиксировала там 1 взрыв вечером 8 декабря - в 2-

Кроме того, наблюдатели в Авдеевке 9 декабря в период с 11:20 до 12:42 слышали 8 взрывов и 7 очередей из крупнокалиберного пулемета - -всё в 2-




