Представители Специальной мониторинговой миссии ОБСЕ в Украине сообщили об обострении обстановки на Донетчине, в том числе в районе Донецкой фильтровальной станции. От ДФС запитана, в частности, Авдеевка, сообщает avdeevka.city.
В период с вечера 19 июня по вечер 20 июня в Донецкой области СММ констатировала увеличение количества нарушений режима прекращения огня (НРПО), в том числе больше взрывов (около 70), по сравнению с предыдущим отчетным периодом (30 взрывов). Большинство НРПО зафиксировано в районах к югу и юго-востоку от н. п. Чермалык (подконтрольный правительству,
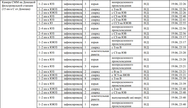
Приводим вашему вниманию таблицу НРПО в районе ДФС:



Напомним, что 21 июня вооруженные формирования Российской Федерации 25 раз нарушили режим прекращения огня на Донбассе. Под огнем оказались и позиции Объединенных сил в районе Авдеевки.



