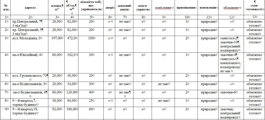
Військово-цивільна адміністрація міста Авдіївка Донецької області наддала перелік місць укриття населення у разі загрози або виникнення надзвичайних ситуацій воєнного характеру.
На виконання Указу Президента України від 26 листопада 2018 року №393/2018 «Про введення воєнного стану в Україні», постанови Кабінету Міністрів України від 22 липня 2015 року № 544 «Про затвердження типового плану запровадження та забезпечення заходів правового режиму воєнного стану в Україні або в окремих її місцевостях», рішення міської комісії з питань ТЕБ та НС від 04.12.2018 року № 10. «Про забезпечення діяльності місцевої ланки територіальної підсистеми Єдиної державної системи цивільного захисту міста Авдіївка Донецької області в режимі воєнного стану» ВЦА доводить до відома місця укриття населення у разі загрози або виникнення надзвичайних ситуацій воєнного характеру.
Дані надані у таблиці, що додається.





